Menu Close

Percocet

Percocet contains a combination of acetaminophen and oxycodone. Oxycodone is an opioid pain medication. An opioid is sometimes called a narcotic. Acetaminophen is a less potent pain reliever that increases the effects of oxycodone.

Percocet is used to relieve moderate to severe pain.

Due of the risks of addiction, abuse, and misuse, even at recommended doses, Percocet is only prescribed when treatment with non-opioid pain relieving medication has not been tolerated or has not provided adequate pain relief.

Percocet Dosages and Strengths

Each tablet, for oral administration, contains oxycodone hydrochloride and acetaminophen in the following strengths:

Oxycodone Hydrochloride, USP 2.5 mg* Acetaminophen, USP 325mg
*2.5 mg oxycodone HCl is equivalent to 2.2409 mg of oxycodone.

Oxycodone Hydrochloride, USP 5mg* Acetaminophen, USP 325 mg
*5 mg oxycodone HCl is equivalent to 4.4815 mg of oxycodone.

Oxycodone Hydrochloride, USP 7.5 mg* Acetaminophen, USP 325 mg
*7.5 mg oxycodone HCl is equivalent to 6.7228 mg of oxycodone.

Oxycodone Hydrochloride, USP 7.5 mg* Acetaminophen, USP 500 mg
*7.5 mg oxycodone HCl is equivalent to 6.7228 mg of oxycodone.

Oxycodone Hydrochloride, USP 10 mg*  Acetaminophen, USP 325 mg
*10 mg oxycodone HCl is equivalent to 8.9637 mg of oxycodone.

Oxycodone Hydrochloride, USP 10 mg* Acetaminophen, USP 650 mg
*10 mg oxycodone HCl is equivalent to 8.9637 mg of oxycodone.

All strengths of PERCOCET also contain the following inactive ingredients: Colloidal silicon dioxide, croscarmellose sodium, crospovidone, microcrystalline cellulose, povidone, pregelatinized
cornstarch, and stearic acid.

In addition, the 2.5 mg/325 mg strength contains FD&C Red No. 40 Aluminum Lake

the 5 mg/325 mg strength contains FD&C Blue No. 1 Aluminum Lake.

The 7.5 mg/325 mg and the 7.5 mg/500 mg strengths contain FD&C Yellow No. 6 Aluminum Lake.

The 10 mg/325 mg and 10 mg/650 mg strengths contain D&C Yellow No. 10 Aluminum Lake.

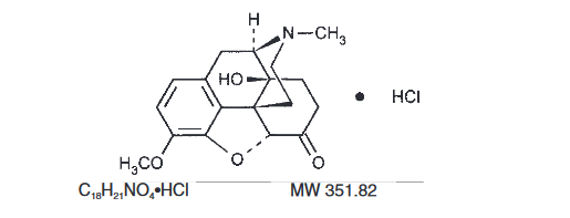
Oxycodone, 14-hydroxydihydrocodeinone, is a semisynthetic opioid analgesic which occurs as a white, odorless, crystalline powder having a saline, bitter taste. The molecular formula for
oxycodone hydrochloride is C 18 H21 NO4•HCl and the molecular weight 351.83. It is derived from the opium alkaloid thebaine, and may be represented by the following structural formula:

Acetaminophen, 4′-hydroxyacetanilide, is a non-opiate, non-salicylate analgesic and antipyretic which occurs as a white, odorless, crystalline powder, possessing a slightly bitter taste. The molecular formula for acetaminophen is C 8 H 9 NO 2 and the molecular weight is 151.17. It may be represented by the following structural formula:

Acetaminophen
Acetaminophen

Percocet US Brand Name

  1. Endocet
  2. Magnacet
  3. Narvox
  4. Percocet
  5. Perloxx
  6. Primalev
  7. Roxicet
  8. Roxilox
  9. Tylox
  10. Xartemix XR
  11. Xolox

Percocet Canadian Brand Name

  1. oxyCODONEACET
  2. Rivacocet
  3. Teva-Oxycocet

Percocet Descriptions

Oxycodone and acetaminophen combination is used to relieve pain severe enough to require opioid treatment and when other pain medicines did not work well enough or cannot be tolerated.

Acetaminophen is used to relieve pain and reduce fever in patients. It does not become habit-forming when taken for a long time. But acetaminophen may cause other unwanted effects when taken in large doses, including liver damage. Although rare, use of acetaminophen has been reported to lead to liver transplantation and death, usually at high doses and when multiple acetaminophen-containing products have been used.

Oxycodone belongs to the group of medicines called opioid analgesics (pain medicines). It acts on the central nervous system (CNS) to relieve pain, and stops or prevents cough.

When oxycodone is used for a long time, it may become habit-forming, causing mental or physical dependence. However, under the close supervision of healthcare providers, people who have continuing pain should not let the fear of dependence keep them from using opioids to relieve their pain. Mental dependence (addiction) is less likely to occur when opioids are used for this purpose. Physical dependence may lead to withdrawal symptoms if treatment is stopped suddenly. However, severe withdrawal symptoms can usually be prevented by gradually reducing the dose over a period of time before treatment is stopped completely.

This medicine is available only with your doctor’s prescription. Percocet® and Xartemis™ are available only under a restricted distribution program called the Opioid Analgesic REMS (Risk Evaluation and Mitigation Strategy) program.

This product is available in the following dosage forms:

  • Tablet
  • Solution

What Is the Side Effects of Percocet ?

Percocet, which contains oxycodone (an opioid pain reliever) and acetaminophen (a non-opioid pain reliever), can cause a variety of side effects. These range from mild to severe, and some individuals may be at higher risk of experiencing certain side effects depending on their medical history, dosage, and duration of use.

Common Side Effects

These are typical but generally not life-threatening side effects that may diminish over time as your body adjusts to the medication:

  1. Drowsiness or Sedation
  2. Dizziness
  3. Nausea or Vomiting
  4. Constipation
  5. Headache
  6. Lightheadedness
  7. Dry Mouth

Serious Side Effects

These side effects are more serious and may require medical attention, especially if they become severe or persistent:

  1. Respiratory Depression (slow or shallow breathing): This is a significant risk with opioids, especially when taken in high doses or combined with other sedatives (like alcohol or benzodiazepines).
  2. Hypotension (low blood pressure): Symptoms include dizziness, fainting, or feeling lightheaded when standing.
  3. Severe Allergic Reactions: This could include rash, itching, swelling, or difficulty breathing.
  4. Liver Damage: Acetaminophen in high doses can cause liver toxicity, especially when combined with alcohol. Signs include yellowing of the skin/eyes (jaundice) and upper abdominal pain.
  5. Addiction and Dependence: Oxycodone has a high potential for abuse, and long-term use can lead to physical dependence, addiction, and withdrawal symptoms when stopping.
  6. Mood Changes: Anxiety, agitation, or euphoria can occur in some individuals.
  7. Confusion or Hallucinations
  8. Seizures: This is rare but possible, especially in people with a history of seizure disorders.
  9. Urinary Retention: Difficulty urinating or the inability to empty the bladder fully.
  10. Sleep Disorders: Insomnia or disturbed sleep patterns.

Rare but Serious Complications

  1. Anaphylaxis: A severe allergic reaction that requires immediate medical intervention.
  2. Serotonin Syndrome: If combined with certain antidepressants (SSRIs or SNRIs), oxycodone can lead to serotonin syndrome, a potentially life-threatening condition characterized by confusion, rapid heart rate, high blood pressure, tremors, and seizures.
  3. Adrenal Insufficiency: Long-term opioid use may suppress the body’s ability to produce natural hormones, leading to symptoms like fatigue, muscle weakness, and low blood pressure.
  4. Heart Problems: High doses of acetaminophen or long-term use can increase the risk of cardiovascular issues.

Reducing Risk of Side Effects

  1. Avoid Alcohol: Drinking alcohol while on Percocet increases the risk of liver damage and respiratory depression.
  2. Take as Prescribed: Follow your healthcare provider’s dosing instructions to avoid overdose or dependency.
  3. Stay Hydrated: To prevent constipation, drink plenty of water and consider taking fiber supplements if necessary.
  4. Monitor Liver Function: If you’re on long-term Percocet use, regular liver function tests may be needed to monitor the effects of acetaminophen.

What to Do If You Experience Side Effects

  • Mild Side Effects: Report them to your doctor if they persist or worsen.
  • Serious Side Effects: Seek immediate medical attention if you experience symptoms like trouble breathing, extreme drowsiness, confusion, or severe abdominal pain.

Percocet should be used with caution, and always under a doctor’s guidance, due to its potential for both common and serious side effects.

Percocet Warnings

You should not use Percocet if you have recently used alcohol, sedatives, tranquilizers, or other opioid medications. Do not use Percocet if you have used a MAO Inhibiter in the past 14 days, such as isocarboxazid, linezolid, phenelzine, rasagiline, selegiline, or tranylcypromine, or have received a methylene blue injection.

Oxycodone can slow or stop your breathing, and may be habit-forming. Use only your prescribed dose, and swallow the pill whole to avoid a potentially fatal dose. Never share Percocet with another person.

MISUSE OF THIS MEDICINE CAN CAUSE ADDICTION, OVERDOSE, OR DEATH, especially in a child or other person using the medicine without a prescription.

Do not take more Percocet than is recommended. An overdose of oxycodone or acetaminophen (both present in Percocet) can cause death. Call your doctor at once if you have nausea, pain in your upper stomach, itching, loss of appetite, dark urine, clay-colored stools, or jaundice (yellowing of your skin or eyes).

Oxycodone (present in Percocet) may cause life-threatening withdrawal symptoms in a newborn if the mother has taken Percocet during pregnancy.

Stop taking this medicine and call your doctor right away if you have skin redness or a rash that spreads and causes blistering and peeling.

Fatal side effects can occur if you use Percocet with alcohol, or with other drugs that cause drowsiness or slow your breathing.

You should not use Percocet if you have severe asthma or breathing problems, or a blockage in your stomach or intestines.

Before Taking Percocet

You should not use Percocet if you are allergic to any of its components including acetaminophen or oxycodone, or if you have:

  • severe asthma or breathing problems; or
  • a blockage in your stomach or intestines.

To make sure Percocet is safe for you, tell your doctor if you have ever had:

  • breathing problems, sleep apnea;
  • liver disease;
  • a drug or alcohol addiction;
  • kidney disease;
  • a head injury or seizures;
  • urination problems; or
  • problems with your thyroid, pancreas, or gallbladder.

If you use Percocet while you are pregnant, your baby could become dependent on the drug. This can cause life-threatening withdrawal symptoms in the baby after it is born. Babies born dependent on opioids may need medical treatment for several weeks.

If you become pregnant while taking oxycodone, do not stop your medication suddenly without talking to your doctor. You may need to decrease your medicine gradually.

Do not breastfeed. Oxycodone can pass into breast milk and cause drowsiness, breathing problems, or death in a nursing baby. Tell your doctor if you are breastfeeding before using oxycodone.

How Should I Take Percocet?

Take Percocet exactly as prescribed by your doctor. Follow all directions on your prescription label. Never take this medicine in larger amounts, or for longer than prescribed. An overdose can damage your liver or cause death. Tell your doctor if you feel an increased urge to use more of this medicine.

Never share this medicine with another person, especially someone with a history of drug abuse or addiction. MISUSE CAN CAUSE ADDICTION, OVERDOSE, OR DEATH. Keep the medicine in a place where others cannot get to it. Selling or giving away Percocet is against the law.

If you need surgery or medical tests, tell the doctor ahead of time that you are using Percocet.

You should not stop using Percocet suddenly. Follow your doctor’s instructions about tapering your dose.

Store at room temperature away from moisture and heat. Keep track of your medicine. You should be aware if anyone is using it improperly or without a prescription.

Do not keep leftover opioid medication. Just one dose can cause death in someone using this medicine accidentally or improperly. Ask your pharmacist where to locate a drug take-back disposal program. If there is no take-back program, flush the unused medicine down the toilet.

What Happens if I Miss a Dose?

Since Percocet is used for pain, you are not likely to miss a dose. Skip any missed dose if it is almost time for your next dose. Do not use two doses at one time.

What Happens if I Overdose?

Seek emergency medical attention or call the Poison Help line at 1-800-222-1222. An overdose of this medicine can be fatal, especially in a child or other person using the medicine without a prescription. Overdose symptoms may include nausea, vomiting, sweating, severe drowsiness, pinpoint pupils, slow breathing, or no breathing.

Your doctor may recommend you get naloxone (a medicine to reverse an opioid overdose) and keep it with you at all times. A person caring for you can give the naloxone if you stop breathing or don’t wake up. Your caregiver must still get emergency medical help and may need to perform CPR (cardiopulmonary resuscitation) on you while waiting for help to arrive.

Anyone can buy naloxone from a pharmacy or local health department. Make sure any person caring for you knows where you keep naloxone and how to use it.

Why is Percocet Addictive and How to Treat and Prevent Percocet Dependence ?

Percocet is a prescription medication that contains two active ingredients: oxycodone, an opioid pain reliever, and acetaminophen (Tylenol), a non-opioid pain reliever. While effective for treating moderate to severe pain, Percocet is highly addictive due to the presence of oxycodone, which can create a feeling of euphoria when taken in higher doses or for extended periods.

Why is Percocet Addictive?

  1. Oxycodone Component: Oxycodone is an opioid, which means it acts on the brain’s opioid receptors, leading to a strong sense of pleasure and pain relief. Over time, the brain may become dependent on this sensation.
  2. Tolerance: With regular use, the body can develop tolerance, meaning more of the drug is needed to achieve the same pain relief or euphoric effect.
  3. Dependence: As the body adjusts to the presence of Percocet, it becomes physically dependent on it, leading to withdrawal symptoms when the drug is not taken.
  4. Euphoric Effects: Oxycodone can produce a high, making it prone to misuse. Individuals may take higher doses than prescribed or take it without a prescription, increasing the risk of addiction.

Signs of Percocet Dependence

  • Taking more Percocet than prescribed
  • Craving the drug and obsessing over the next dose
  • Withdrawal symptoms when not using, such as nausea, sweating, shaking, or irritability
  • Using the drug despite negative consequences (e.g., legal, social, or health problems)

Treatment for Percocet Dependence

  1. Medical Detoxification: Supervised detox helps manage withdrawal symptoms as the drug is eliminated from the body. Medications like methadone or buprenorphine may be used to ease the withdrawal process.
  2. Medication-Assisted Treatment (MAT): Medications such as:
    • Buprenorphine: A partial opioid agonist that reduces cravings and withdrawal symptoms.
    • Methadone: A long-acting opioid that helps manage withdrawal and cravings.
    • Naltrexone: Blocks the effects of opioids and prevents relapse.
  3. Behavioral Therapy: Counseling and cognitive-behavioral therapy (CBT) help address the underlying psychological triggers for addiction, such as stress or trauma.
  4. Inpatient/Outpatient Rehab: Structured environments where patients receive therapy, counseling, and support.
  5. Support Groups: Programs like Narcotics Anonymous (NA) provide peer support and guidance.

Preventing Percocet Dependence

  1. Follow Prescription Guidelines: Only use Percocet as prescribed and avoid increasing the dose without consulting a healthcare provider.
  2. Non-Opioid Pain Management: Explore alternative pain management strategies, such as physical therapy, non-opioid medications, or complementary therapies (e.g., acupuncture).
  3. Regular Monitoring: If you’re prescribed Percocet for a longer period, ensure regular check-ins with your doctor to assess whether the medication is still necessary.
  4. Be Informed: Understand the risks associated with opioids and seek help if you notice any signs of misuse.
  5. Education: Healthcare providers and patients should be well-informed about the addictive potential of Percocet and how to use it safely.

If you or someone you know is struggling with Percocet dependence, reaching out to a healthcare professional is crucial for early intervention and treatment.

What Other Drugs Will Affect Percocet?

Several drugs can interact with Percocet, potentially increasing the risk of side effects or reducing the effectiveness of the medication. These interactions can enhance the risk of respiratory depression, liver damage, sedation, or other harmful effects. Below are the most common categories of drugs that can affect Percocet, along with some examples.

1. Drugs That Increase Risk of Respiratory Depression

Opioids like oxycodone (one of the active ingredients in Percocet) can slow down breathing. Combining Percocet with other medications that depress the central nervous system can amplify this effect, leading to dangerous respiratory depression.

  • Benzodiazepines: Used for anxiety or sleep disorders (e.g., Xanax, Valium, Ativan).
  • Sedatives or Tranquilizers: Such as phenobarbital.
  • Muscle Relaxers: Such as cyclobenzaprine.
  • Other Opioids: Combining with other opioid pain medications like morphine or hydrocodone.
  • Alcohol: Significantly increases the risk of respiratory depression.

2. Drugs That Affect Acetaminophen Metabolism

The acetaminophen in Percocet can lead to liver toxicity when taken in high doses or combined with other drugs that also contain acetaminophen or affect liver enzymes.

  • Other Acetaminophen-Containing Drugs: Over-the-counter medications like cold or flu products (e.g., Tylenol).
  • Alcohol: Increases the risk of liver damage.
  • Anti-Seizure Medications: Such as phenytoin and carbamazepine, which may increase the metabolism of acetaminophen, leading to toxicity.
  • Rifampin: An antibiotic that may speed up the metabolism of acetaminophen.

3. Drugs That Increase Sedation

Percocet can cause drowsiness, and combining it with other sedatives can lead to excessive sedation or drowsiness.

  • Antidepressants: Especially tricyclic antidepressants (e.g., amitriptyline) or SSRIs/SNRIs (e.g., fluoxetine, duloxetine).
  • Antihistamines: Especially first-generation ones that cause drowsiness (e.g., diphenhydramine, commonly found in Benadryl).
  • Antipsychotics: Such as quetiapine or haloperidol.

4. Drugs That Increase the Risk of Serotonin Syndrome

When oxycodone is combined with drugs that affect serotonin levels, there is a risk of serotonin syndrome, a potentially life-threatening condition.

  • SSRIs and SNRIs: Medications for depression (e.g., sertraline, citalopram, venlafaxine).
  • MAO Inhibitors: Such as phenelzine and tranylcypromine. These should not be taken within 14 days of Percocet.
  • Other Drugs That Increase Serotonin: Like tramadol, a different pain reliever, or St. John’s Wort, an herbal supplement.

5. Drugs That Interfere with Oxycodone Metabolism

Certain medications can affect how your body processes oxycodone, either increasing its levels (leading to toxicity) or decreasing its effectiveness (reducing pain relief).

  • CYP3A4 Inhibitors: These drugs slow the metabolism of oxycodone, leading to increased levels and a higher risk of side effects. Examples include:
    • Antifungal medications: Such as ketoconazole and itraconazole.
    • Antibiotics: Such as clarithromycin.
    • HIV Protease Inhibitors: Such as ritonavir.
  • CYP3A4 Inducers: These drugs speed up the metabolism of oxycodone, potentially reducing its effectiveness. Examples include:
    • Rifampin (an antibiotic).
    • St. John’s Wort (an herbal supplement).
    • Carbamazepine (an anti-seizure medication).

6. Drugs That Increase Risk of Liver Toxicity

Because Percocet contains acetaminophen, any additional drug that affects liver function can increase the risk of liver damage.

  • Alcohol: Drinking alcohol while taking Percocet significantly increases the risk of liver damage due to the acetaminophen component.
  • Isoniazid: An antibiotic used to treat tuberculosis.

7. Other Potential Interactions

  • Diuretics: Some diuretics, like furosemide, may not work as effectively when combined with opioids.
  • Blood Thinners: While not a direct interaction, it’s important to monitor for any signs of bleeding if combining with medications like warfarin, especially if Percocet is taken long-term, as it can cause stomach irritation.

What to Do Before Taking Percocet

  • Consult Your Doctor: Before starting Percocet, provide your doctor with a full list of all medications, supplements, or herbal remedies you’re taking.
  • Avoid Alcohol: Do not drink alcohol while taking Percocet.
  • Monitor Your Dosage: Never take more than the prescribed dose of Percocet, especially considering the risks of acetaminophen overdose.

These interactions highlight the importance of careful management and consultation with healthcare providers when using Percocet.

Related Entries

Leave a Reply